Annals of
Burns and Fire Disasters - vol. XIII - n° 1 - March 2000
MOIST
EXPOSED BURN THERAPY: EVALUATION OF THE EPITHELIAL REPAIR PROCESS (AN EXPERIMENTAL MODEL)
loannovich J., Tsati E., Tsoutsos
D., Frangia K., Papalois A.
G. Gennimatas General State Hospital of
Athens, Department of Plastic Surgery, Microsurgery and Burn Centre, Athens, Greece
SUMMARY. The purpose of this experimental study was to
evaluate the efficacy of moist exposed burn ointment (MEBO) oil epithelial tissue repair
and to assess the debriding effect of partial-thickness burn wounds, compared with other
local agents commonly used. Eighty burn wounds on ten Ladrace-Pietrenne youngi pigs were
induced by C02 laser and the following parameters were evaluated: alterations of the burn
wound area using planimetry; physical examination including necrosis, exudation, oedema,
and clinical appearance; pH, transepidermal water loss, and moisture of the wound surface;
and histological evaluation of burn depth and epithelial repair. Three different local
agents (MEBO, povidone iodine, and silver sulphadiazine) were applied twice daily, except
in the control group wounds. Evaluation and measurement were performed on days 2, 4, 6,
and 8. The following results were found: the measurement of water loss from the wound
surface is an objective non-invasive procedure to assess wound healing; MEBO appears to
si,!~nificantly accelerate the healing process in partial-thickness burns, compared with
the other local agents; measurement of wound moisture may give additional information
regarding the wound healing process; MEBO creates a moisturizing environment for a longer
period, which enhances wound healing compared with other substances; planimetry is an
efficient method to calculate the burn area and the progress of healing in full-thickness
burn wounds only; and there is no relation between pH and wound healing.
Introduction
Many drugs or
"medical agents" have been applied to improve and accelerate the wound healing
process. The variety of agents used led Ambroise Pare (1510-1590) to postulate that a
surgeon's goal in wound management was to create an environment where the healing process
could proceed in optimal fashion, and he demonstrated the beneficial effect of the
application of hot oil to fresh open wounds. Since then and over the centuries many
publications have pointed out that a moist environment enhances epithelialization in the
wound healing process. Controlled experimental and clinical data have in recent times
supported the suggestion that a moist environment enhances wound healing in the form of an
occlusive dressing compared with a dry environment.
Xu Rongxiang' has developed the "moist exposed burn therapy" - a therapeutic
procedure based on the moist environment of the wound, using an ointment that enhances
epithelial repair, and in particular that of partial-thickness burn wounds. Moist exposed
burn ointment (MEBO) consists only of natural ingredients including - apart from honey and
sesame oil - 17 amino acids, 14 fatty acids, and 4 polysaccharides, The ointment's main
active substance is considered to be B-sitosterol at a concentration of 0.25%. Clinical
and experimental investigations by ChuanjiU,4 Yunying,' and Rongxiang' have indicated that
MEBO has the following therapeutic effects:
- analgesic: MEBO reduces pain in
partial-thickness burn wounds;
- anti-shock: MEBO reduces evaporation of
water from the burn wound surface and improves microcirculation by decreasing peripheral
and systemic capillary exudation;
- anti-bacterial: MEBO changes the biological
behaviour of bacteria, inducing a decrease in bacterial toxicity and invasive capacity, as
well as sensitivity to antibiotics; it also increases the wound's local and systemic
immunity;
- MEBO promotes epithelial repair; it also
reduces healing time in partial-thickness bums;
MEBO improves scar
formation and contributes to the formation of a smooth, thin, and aesthetically acceptable
scar; it thus prevents the formation of hypertrophic scars.
Aim of the study
The aim of this
experimental study was to evaluate the efficacy of MEBO on the epithelial tissue repair of
partial-thickness burn wounds of different depths, with a view to understanding the action
mechanism and in particular to assessing any debriding effect by the ointment.
Material and methods
Ten female, two-month-old Ladrace-Pietrenne pigs were used, weighing between 23 and 25 kg.
The animals were caged communally for one week prior to the operation. The pigs were fed a
basal diet and drank water ad libitum. The animals were housed in a controlled room
temperature of 26-29 °C.
The animals were sedated with ketamine (20 mg/kg body weight) and midazolame (0.5 mg/kg).
Endotracheal anaesthesia was induced and maintained with profol (25 mg/kg), fentanyl (2.0
[tg/kg), and pavulon (0.2 mg/kg).
A silk touch C02 laser with a round microprocessor scanner (diameter 2 mm) in continuous
wave was used to induce the thermal wounds. The depth of the wounds ranged from 0.45 to
2.3 trun, simulating the resurfacing procedure or a partial -thickness burn of various
depths (Fig. 1).
 |
Fig.
1 - Experimental procedure to create burn wounds with silk touch C02 laser
(left). Use of 2 mm round microprocessor scanner (centre). Close-up picture of burn wound
(right). |
|
The following
non-invasive objective parameters were evaluated every second day until complete
epithelialization of the wounds in order to assess the epithelial repair of the wound:
| a. |
extent: |
|
planimetry |
| b. |
physical examination: |
|
clinical picture of the wound
(oedema, necrosis, exudation) |
| c. |
other skin attributes: |
|
pH of wound surface,
transepidermal water loss (TEWL), moisture, histological evaluation of epithelial repair |
Experimental protocol
Under general anaesthesia the
dorsum of the pig was shaved and washed with povidone iodine scrub followed by sterile
saline rinse.
Eight partial-thickness burn wounds of different depths measuring 5 x 5, cm were inflicted
on either side of the paravertebral region in each pig (total number of burn wounds: 80) (Fig.
2).
 |
Fig. 2
- The eight burn wounds created paravertebrally with a C02 laser. |
|
The left side
was treated with MEBO, while the right side, covered with dry dressing gauze or other
ointments currently used for local burn treatment (silver sulphadiazine or povidone
iodine), was used as the control side. A strip of healthy skin at least 2 cm wide
separated the wounds from each other. The total burn surface area (lid not exceed 15% TBSA
in order to avoid any systemic effect due to the burn injury.
After application of the ointment to be tested, the wounds were covered with sterile gauze
fixed with staples. The dressings were changed every day, while assessment and
documentation were performed on days 2, 4, 6, and 8.
Results
A. Extent
Computerized planimetry based on colour changes in the surface was selected as the
most accurate method for assessing the surface of the wound (Fig. 3).
 |
Fig. 3
- Planimetry. Measuring the wound with a ruler. Colouring the border of the defect to
facilitate the colour change. Automatic calculation of the surface. |
|
The method is
applicable exclusively on full-thickness wounds and not on those of partial thickness,
since the epithelialization is spontaneous, deriving from different parts of the wound,
and thus does not form a unified colour area.
B. Physical examination
A close-up picture of the wound was taken every second day and clinically evaluated in
order to document the oedema, necrosis, and exudation of the wound. The MEBO-treated
wounds showed accelerated epithelial repair in superficial, moderate, and deep
partial-thickness burns. None of the wounds, regardless of depth, became infected (Fig.
4).
 |
Fig. 4
- Planimetry. Scar formation after 7 days treated with MEBO (left).
Control wound kept dry for the same period (right). |
|
The quality of
the eschars appeared to vary in relation to the substance applied. The eschars formed by
MEBO and silver sulphadiazine ointment were softer and easily rubbed off in small pieces
on consecutive days. The absence of the eschar, even partial, facilitated a more. accurate
observation and assessment of epithelial repair. The quality of the eschar also reflected
the regeneration of the new epithelium, which remained intact and presented even
macroscopically a better architecture, leading to a better quality of scar formation (Fig.
4). The rapid cleansing of the burn wound, combined with the rapid onset of
epithelialization, led to the clinical impression that MEBO had a debriding effect.
The eschars formed by povidone iodine ointment had the same quality as those of the
control group. The eschars were hard and solid; they were peeled rather than removed in
one piece on one day, thus hindering epithelialization.
C. Transepidermal water
loss
The measurement of transepidermal water loss (TEWL) is an important non-invasive
method for assessing the efficacy of skin integrity as a protective barrier (Fig. 5).
 |
Fig. 5
- TEWL is an important non-invasive method for assessing the efficiency of the skin as a
protective barrier. |
|
The stratum
comeum forms a barrier against diffusion of water through the epidermis. As a consequence,
the measurement of TEWL provides information concerning the integrity of the epidermis.
For this purpose the Dermal-ab system equipped with a TEWL probe was used. This is based
on the vapour pressure gradient estimation method of Nilsson.
Immediately after the burn injury, TEWL - as expected - showed its highest value, which
was related to wound depth. Water loss diminished progressively as the epithelium covered
the wound surface.
Superficial bums treated with MEBO presented on day 7 post-burn a water loss of 15.2-34.4
g/M2/h, compared with 29.8-79.7 g/m2/h in the control group and 21-84 g/M2/h in the
conventional agent group (povidone iodine or silver sulphadiazine ointment) (Fig. 6).
Moderate bums
treated with MEBO presented on day 7 post-burn a water loss of 17.9-34.4 g/M2/h, compared
with 28.338.8 g/M2/h in the control group and 17.447.6 g/m2/h in the conventional agent
group (Fig.. 7).

|
|
 |
 |
 |
 |
MEBO |
Ag Sulphadiazine |
Povidone iodine |
Control |
Fig.
7 - Evolution using MEBO ointment. Moderate partialthickness bum. Appearance on
day 7 post-burn |
|
Deep bums
treated with MEBO presented on day 7 post-burn a water loss of 18.0-27.6 g/m2/h, compared
with 30-43 g/m2/h in the control group and with 27.346.9 g/m2/h in the conventional agent
group (Fig. 8). This is an objective indication of the accelerated
epithelialization due to the effect of MEBO.
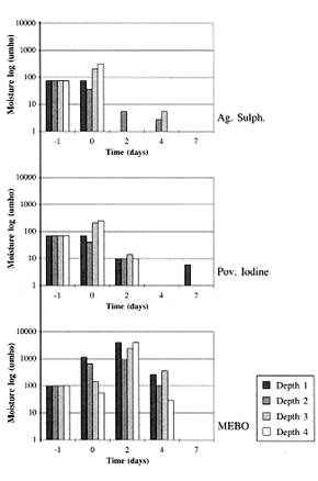
D. Moisture
All the burn wounds showed
high moisture values, which reached their peak on day 2 post-bum. Wounds treated with MEBO
showed high moisture values until day 4 post-bum. These values were higher than those
found in burns treated with silver sulphadiazine ointment, which also presented moderate
moisture values. In contrast, wounds treated with povidone iodine ointment, as also burns
in the control group, showed low moisture values as early as day 2 post-bum. The moistu~re
values in all groups fell to almost zero on days 4-7 post-burn (Figs. 9-11).
E. Histological specimen
The depth of the wounds, as also the control of epithelialization, was confirmed
histologically.
 |
 |
Fig. 9 -
Comparison of moisture-time-depth of the three local agents for superficial bums
(depth 1 < depth 2 < depth 3 < depth 4). |
Fig. 10
- Comparison of moisture-time-depth of the three local agents for moderate burns
(depth 1 < depth 2 < depth 3 < depth 4). |
|
 |
Fig. 11
- Comparison of moisture-time-depth of the three local agents for deep bums
(depth 1 < depth 2 < depth 3 < depth 4). |
|
Conclusions
- TEWL is an objective non-invasive method of
measuring wound healing and assessing epithelial repair.
- There is no relation between pH and wound
healing.
- Measurement of moisture in the wound may give
additional information regarding the wound healing process. MEBO manifests a moisturizing
environment for a longer period than other substances.
- Planimetry is an efficient method for the
estimation of the wound surface area and the progress of healing in full-thickness burns
only.
- MEBO significantly accelerates the wound
healing process in partial-thickness bums, as observed by TEWL and the wounds' clinical
behaviour.
- MEBO contributes to a better quality scar after
epithelial repair than other local agents.
- Local substances applied to burn wounds may
provoke a debriding effect. In a moisturized environment where eschars are easy to remove
in small pieces MEBO showed an efficient debriding effect compared with the other agents.
RESUME.
Les Auteurs, dans cette étude expérimentale, ont évalué l'efficacité d'un onguent
pour les brûlures exposées humides (sigle anglais: MEBO) dans la réparation des tissus
épithéliaux. En outre ils ont estimé son effet débridant sur les lésions d'épaisseur
partielle par rapport aux autres agents communément utilisés. Moyennant le laser C02, 80
brûlures ont été pratiquées sur 10 jeunes porcs Ladrace-Pietrenne et les paramètres
suivants ont été évalués: les modifications de l'aire des brûlures, utilisant la
planimétrie; l'observation physique, y compris la nécrose, l'exsudation, l'oedème et
l'aspect clinique; pH, les pertes hydriques transépidermiques et l'humidité de la
surface de la lésion. Trois différents agents locaux (MEBO, polyvidone iodée,
sulfadiazine argentée) ont été administrés deux trois par jour, à l'exception des
lésions des témoins. L'évaluation et le mesurage ont été effectués le jour 2, 4, 6
et 8, avec les résultats suivants: la calculation des pertes hydriques de la surface de
la lésion est une procédure objective noninvasive pour évaluer la guérison des
lésions; le MEBO semble accélérer en manière significative la guérison des brûlures
d'épaisseur partielle, par rapport aux autres agents; la calculation de l'humidité de la
lésion peut donner des informations supplémentaires pour ce qui concerne sa guérison-,
le MEBO crée un environnement hydratant pour une période plus prolongée, ce qui
améliore la guérison des lésions par rapport aux autres agents; la planimétrie est une
méthode efficace pour calculer l'aire des brûlures et les progrès de la guérison
seulement dans les brûlures à toute epaisseur; et enfin les Auteurs n'ont pas trouvé
aucun rapport entre le pH et la guérison des brûlures.
BIBLIOGRAPHY
Alvarez O.M., Mertz P.M., Eaglstein
W.H.: The effect of proline analogue I-azetidine-2-carboxylic acid (LACA) on epidermal and
dermal wound repair. J. Plast. Reconstr. Surg., 69: 284, 1982.
Eaglstein W.H,, Mertz P.M: Inert vehicles do affect wound healing. J. Invest. Dermatol., 74: 90, 1980.
Xu Rongxiang: Advances of clinical
research on moist exposed therapy (MEBT) and moist exposed burn ointment (ME130). Personal
communication, 1999.
Li Chuanjiu et al.: Clinical
application of MEBO for treating thermal injuries (report of 217 cases). TBID, 4: 19,
1995.
Qu Yunying et al.: Experimental research on the mechanism of the effect of MEBO. IBID, 4: 4, 1997.
Wilson D.R., Maibach H.: Transepidermal water loss: A review. In: Leveque J.L.:
"Cutaneous investigation in health and disease. Noninvasive methods and
instrumentation", chap. 7, M. Dekker, New York, 1989.
Nilsson G.E.: Measurement of water exchange through skin. Med. Biol. Eng. Comput., 15: 209, 1977.
Alvarez O.M., Mertz P.M., Eaglstein
W.H: The effect of occlusive dressings on collagen synthesis and re-epithelialization in
superficial wounds. J. Surg. Research, 35: 142, 1983.
Geronemus R.G., Hertz P.M.: Eaglstein
W.H.: Wound healing. The effect of topical antimicrobial agents. Arch. Dermat., 155: 1311,
1979.
Pirone L.A., Monte K.A., Shannon R.J.,
Bolton L.L.: Wound healing under occlusion and non-occlusion in partial-thickness and
full-thickness wounds in swine. Wounds, 2: 74, 1990.
| This paper was received on 15
December 1999. Address
correspondence to: Prof. Dr John D. loannovich,
G. Gennimatas General State Hospital of Athens,
Department of Plastic Surgery, Microsurgery and Burn Centre
E-mail: ion@hol.gr |
|