| Annals
of Burns and Fire Disasters - vol. IX - n. 1 - March 1996
ÊTUDE DE VECOLOGIE BACTERIENNE SUR SIX ANS DANS UN SERVICE
DE BRULES: RELATION AVEC LES INFECTIONS NOSOCOMIALES ET LES THERAPEUTIQUES
ANTI-INFECTIEUSES
Perro G., Bourdarias B., Cutillas M., Castède J.C.,
Sanchez R.
Service des Brülés, Hôpital Pellegrin, Bordeaux,
France
RESUME. Les
auteurs ont étudié 4500 prélèvements bactériologiques chez 1600 patients
hospitalisés entre 1989 et 1994. Les germes 1s('~iès, sont les Staphylocoques
dorés (25%), les Streptocoques (16%), les autres bactéries à Gram positif (14%),
les Pseudomonas (26%), les i'i(iii-es bactéries à Gram négatif (13%)
et les levures (6%); il existe des variations significatives en fonction du temps. Staphylocoque
et Pseudonionas représentent 27% de la flore isolée à partir des
lésions cutanées avant le 8ème jour d'évolution et 60% après le jour. Huit
pour cent des patients ont présenté une bactériémie, 8% un syndrome septique avec au
moins une défaillance viscérale, 1~c ont développé une infection urinaire (surtout Pseudomonas
et Candida), 7% une pneumopathie nosocomiale (Pseudomonas 45%). ~ih'gi
pour cent des cathéters centraux sont contaminés (51% de Staphylocoques) entraînant
4% de bactériémies. Les auteurs présentent 1 C, ~i 1- l5ilse cri charge
anti-infectieuse topique et systémique. Il existe une relation significative négative
entre le nombre de Staphylocoques isoie~s, et l'administration
d'antistaphylococciques d'une part, et une relation significative positive d'autre part
entre l'administration de cer(ain"s antibiotiques et l'apparition de souches
multi-résistantes (synergistines et Staphylocoques dorés, fluoro-quinolones et Pseudomonas).
Buts
Les complications infectieuses
nosocomiales font la Vité et Souvent le pronostic final d'une brûlure. Le but de
ë'f,fé étude était de tenter de répondre à plusieurs questions ce problème: quelles
sont les fluctuations de la i'ldè microbienne du service en fonction du temps et de
l'vôlLitioti des lésions cutanées, quelle est la fréquence d'infections nosocomiales,
quelle a été notre attitude en ffitqtlèrc d'antisepsie cutanée et d'antibiothérapie,
quelles n'hl pû être les relations entre cette attitude et le profil d'écologie
microbienne, en matière de sensibilité aux Mtiblotiqucs notamment.
Matériel et méthodes
Les résultats sont basés sur l'analyse informatisée
de 45MI prélèvements bactériologiques réalisés entre 1989 et l~4 sur 1600 patients
consécutifs admis dans le Service J~s Wûlés de Bordeaux.
Methodologie
Les Prélèvements cutanés
Les prélèvements cutanés sont réalisés par biopsies cutanées ou écouvillons à
intervalles variables en fonction d~ l'aspect des lésions, au moment de soins locaux de
kf,ë~fsion, environ une fois par semaine.
Les béniocultures
Les hémocultures sont pratiquées sur les données clinistandard évoquant un problème
septique systémique.
Les prélèvements trachéaux
Les prélèvements trachéaux chez les patients intubés sont realisés par
aspiration distale protégée systématique hebdomadaire. Ils peuvent être complétés
par un lavage broncho-alvéolaire en cas de pneumopathie radiologique. Ils sont compté
positifs pour des valeur de IOICFU, IO'CFU si lavage, avec recherche de polynucléaires
altérés. Dans cette étude, nous nous sommes limités à la microbiologie des
pneumopathies nosocomiales, associant bactériologie et radiologie positives.
Les urocultures
Les urocultures sont systématiques hebdomadaires chez les patients sondés. Elles sont
positives pour des comptages >=10 CFU
Les cathéters
Les cathéters centraux sont systématiquement envoyés en culture après ablation et
ensemencés selon la méthode de Maki. Les résultats quantitatifs n'étant disponibles
que pour l'année 1994, la seule présence de germes a fait compter le cathéter comme
contaminé.
Analyse des résultats - statistique
Nous avons développé un programme
pour traiter les résultats microbiologiques a partir de la base de données FOCUS
(Progilog) fournie par le CRIH de Bordeaux.
Lorsque des comparaisons de groupes ont été nécessaires, nous avons utilisé le test du
chi carré; les recherches de corrélation ont été réalisées par la méthode des
moindres carrés. Les différences statistiquement significatives (au moins P < 0.05)
observées entre deux valeurs consécutives sont soulignées dans les Tables associées.
Résultats
Répartition des prélèvements par site
Les résultats des 4555 prélèvements microbiologiques se répartissent ainsi:
prélèvements cutanés 57%, aspirations trachéales 20%, cathéters centraux 8%, urine
6%, hémocultures 4%, divers 5%.
Evolution de laflore par année
Les résultats sont regroupés Le nombre de patients est stable depuis 1990; il y a eu
des fluctuations dans le nombre de prélèvements annuels, essentiellement au niveau
cutané.
Staphylocoques
Ils représentent globalement 37% de la flore totale. Les Staphylocoques dorés (S.
dorés) sont les plus fréquents; ils ont statistiquement diminué en 1991 et 1993.
Les Staphylocoques coagulase négative sont représentés à 98% par S. epidermidis.
Autres bactéries à Gram positif
La présence des Streptocoques est globalement stable au cours du temps. On
rencontre surtout le groupe D (71%), puis le groupe A non hémolytique (27%). Les autres
familles, notamment les Pneumocoques et les Streptocoques B hémolytiques
(autrefois classiques dans les brûlures), sont beaucoup plus rares " 2%).
Les autres bactéries à Gram positif sont des Anaérobies, dont 5 1 % de Corynébactéries,
3 1 % de Bacillus et 18% de Clostridium. On les isole rarement, et
surtout en phase initiale d'évolution des brûlures; ils n'ont entraîné aucune
infection systémique au cours de ces six ans.
Pseudomonas et Xanthomonas
Leur prévalence cumulée est similaire à celle des S. dorés; des pies sont
remarquables en 1991 et 1994.
80% des souches rencontrées sont des Pseudomonas aéruginosa (Fig. 1). En 1994, le
sérotype Pl 1 a disparu, et le P12 représente 30% des souches totales. Pseudomonas
Cepacia et Xanthomonas Maltophilia sont de plus en plus fréquemment isolés (Cepacia
10% en 1989, 20% en 1992) et posent des problèmes de multirésistance que nous
évoquerons plus loin.

|
Fig. 1
- Répartition des différents types de Pseudomonas. |
|
Autres bactéries à Gram négatif
Leur prévalence est constante, avec une chute en 1990/1991. Si l'année 1989 avait été
marquée par une Il epidémic" de Providencia, totalement disparues par la
suite, les autres types de bactéries à Gram négatif sont toujours retrouvés de façon
constante (Fig. 2).

|
Fig. 2 -
Autres bactéries à Gram négatif. |
|
Levures
68% des levures sont des Candida
albicans, 25% des Aspergillus Fumigatus cutanés. Il y a 6% d'autres levures, surtout des
Candida non albicans. En 1991, les levures représentaient 10% de la flore totale.
Evolution de la flore cutanée par période
d'évolution de la brûlure
Trois périodes ont été
individualisées: du jour d'admission à la première semaine, où les risques de
contamination croisée sont moindres et où la détersion des brûlures commence; de la
deuxième semaine au jour d'évolution où la première greffe est pratiquée en moyenne,
qui correspond à la période de la détersion proprement dite où les complications
infectieuses sont les plus fréquentes; et après le j25, période post-greffe pour la
majorité des patients.
Les résultats montrent au cours de l'évolution une diminution des prélèvements restant
stériles et des familles bactériennés, S. dorés et Pseudomonas passant de 27% des
prélèvements totaux à la première semaine à 60% après j25. La fréquence des levures
est multipliée par sept entre les deux première périodes.
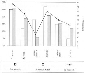
Hémocultures et syndromes septiques
Huit pour cent des patients ont présenté au moins
une bactériémie, avec une proportion d'hémocultures revenant positives variant de 5 à
10%. Les résultats bactériologiques des hémocultures sont schématisés sur la Fig. 3,
qui montre les relations existant entre la flore globale et les hémocultures positives:
on retrouve une analogie de fréquence au niveau des S. dorés et des Gram négatifs non
Pseudomonas, une plus grande fréquence d'hémocultures par rapport à la flore globale
pour les levures et les Staphylocoques coagulase négative, et peu d'hémocultures par
rapport à la flore globale pour les autres bactéries à Gram positif (essentiellement
les Streptocoques).

|
Fig. 3
- Fréquence comparée flore/hémocultures/nombre d'hémocultures sur six ans. |
|
Par contre, nous n'avons pas
retrouvé de corrélation significative entre le nombre de germes isolé et le nombre
d'hémocultures par an pour un même germe.
Huit pour cent des patients ont présenté un "syndrome septique grave"
(associant un syndrome de réponse inflammatoire systémique et une défaillance
viscérale), dont la part bactériologiquement argumentée varie de 20 à 50% en fonction
des années
Pneumopathies
La fréquence de survenue'de pneumopathies
nosocomiales chez les patients intubés.et ventilés n'a pas significativement varié au
cours de'ces cinq ans. Le risque par rapport à la totalité des malades a été.
Le Pseudomonas et le S. doré sont majoritairement responsables de ces
surinfections. Pneumocoque et Haemophilus influenzae ont été rencontrés
dans de rares cas de pneumopathies précoces (Fig. 4).

|
Fig. 4 -
Microbiologie des pneumopathies. |
|
Infections urinaires
Il n'y a pas eu de variations
significatives de l'incidence des infections urinaires sur cinq ans, touchant 10%
du collectif total des malades et 22% des patients sondés. Le sex-ratio hommes/femmes est
de 1/1. 1.
Les germes en cause varient avec le sexe (Fig. 5): la flore de la sphère
périnéale est plus présente chez la femme (Escherichia coli, Streptocoques D,
Candida) que chez l'homme (majorité de Pseudomonas).
Le risque de survenue croît avec la durée du sondage: 4% des infections apparaissent
pour une semaine de sondage vésical, 6% pour deux semaines, 7% pour trois semaines, 22%
pour un mois, et 56% au dessus d'un mois.

|
Fig. 5 - Microbiologie
urinaire. |
|
Cathéters
La microbiologie des cathéters diffère
assez peu de celle des hémocultures, sauf pour les levures (Fig. 6). Quatre pour
cent des cathéters contaminés ont entraînés une bactériémie.
La fréquence de contamination a significativement diminué depuis 1990 par modification
de leur gestion. Par ailleurs, elle a été de 38% pour les cathéters placés de 1 à 6
jours, de 21% de 7 à 14 jours, de 24% de 15 à 21 jours, et de 46% au-delà du 2lème
jour; ceci pose le problème de l'asepsie des cathéters placés dans le cadre de
l'urgence initiale. Enfin le risque d'infection est identique pour les sous-clavières
(25%) et les fémorales (28%), mais de 79% pour les jugulaires internes.

|
Fig. 6 -
Microbiologie des cathéters. |
|
Utilisation des topiques
anti-infectieux cutanés par période
La fréquence globale d'utilisation
des topiques antibactériens est schématisée sur la Table IV. Les antibiotiques
topiques ont vue leur utilisation passer de 30 à 40% des topiques antibactériens totaux.
Les irrigations d'antibiotiques utilisent essentiellement la rifamycine, plus rarement des
associations. Les pommades spécifiques des Staphylocoques sont à base de
virginiamycine, celles visà-vis des Pseudomonas à base de polymyxine B, les
antifurigiques étant à base d'amphotéricine B.
Discussion
Infections nosocomiales
La flore isolée au niveau des brûlures
varie au cours de l'évolution de la lésion dans le même sens, quelles que soient les
équipes. On note une diminution du nombre des prélèvements stériles, une raréfaction
des familles bactériennes, et une évolution vers la sélection de S. dorés, de
Pseudomonas aéruginosa et de levures. Le risque d'infection à Streptocoque fi
hémolytique, faible dans notre série " 1 %), est différemment estimé .
Septicémies et syndromes septiques restent l'objet de discussions, nosologiques. Si
l'incidence des sepsis systémiques est diversement appréciée, leur évolution reste
redoutable, notamment en cas de septicémies polybactériennes de mauvais pronostic;` les
infections profondes associées sont de diagnostic difficile.
La fréquence de survenue d'infections urinaires, 11 % de tous nos patients, est
supérieure aux données de la littérature concernant les service de soins intensifs (4 a
6%),11 posant le problème de la prise en charge des sondes vésicales chez ces patients;
la fréquence de contaminations par Candida est rappelée." Notre incidence de
pneumopathies nosocomiales est de 15 à 20% des malades intubés et de 7% de tous les
malades, comparable aux 20% des malades intubés et 7% des sujets hospitalisés de la
littérature." Les contaminations de cathéters concernant 20 à 25% des voies
veineuses centrales, et entraffiant 3 à 7% de bactériémies dans la littérature, 19,20
correspondent à nos chiffres depuis 1991 (23/26% pour 4,4% de bactériémies de notre
série).
Analyse des variations microbiologiques
Pseudomonas et S. doré sont les deux
types de germes les plus fréquemment isolés dans les Services de Brûlés . Les
différents auteurs décrivent en plus des "épidémies" transitoires à germes
Gram négatifS2," OU à levures .4 Acinetobacter, groupe Klebsiella
Enterobacter Serratia, et Enterocoques posent des problèmes de résistance aux agents
anti-infectieux dans les divers centres.' La part des S. dorés méthi-S est de 10 à 15
%, travaux~ plusieurs facteurs peuvent être retenus pour expliquer les fluctuations
quantitatives observées par les différents auteurs sur la flore de leur service: le type
de prise en charge des lésions, les topiques utilisés, et la chimiothérapie
anti-infectieuse systemique. Les pansements secs favorisent le développement des
Staphylocoques et des Acinetobacters, alors que les pansements humides et la balnéation
favorisent les Pseudomonas.21 S'il est admis que la prise en charge anti-infectieuse
effectuée peut faire varier quantitativement la flore, nous ne l'avons vérifié dans
nôtre série que pour les Staphylocoques. Cet effet est diversement apprécié dans la
littérature Il est par ailleurs bien établi que l'utilisation de certains antibiotiques
sur des périodes prolongées, en monothérapie ou à posologie insuffisante, favorise
l'émergence de mutants résistants. Nous avons retrouvé cette relation vis-à-vis des S.
dorés avec les synergistines, et avec les Pseudoinonas avec la polyrnixine (Ps. Cepacia)
et les fluoro-quinolones (Ps sérotype 12); ce fait a été confirmé pour le même
sérotype avec les céphalosporines de troisième génération." Si les autres germes
ne nous posent pas pour l'instant de problèmes thérapeutiques critiques, il en est
autrement pour d'autres équipes
Conclusion
L'analyse de 4500 prélèvements bactériologiques sur
six ans dans un Service de Brûlés a montré des fluctuations annuelles des différents
types de germes; dans le cas des Staphylocoques, ceux-ci ont pu être liés au volume de
prescription des anti staphylococci que s systémiques. L'utilisation de certains
antibactériens topiques ou systéiniques (synergistines, polyrnyxine, fluoro-quinolones)
a favorisé l'apparition de S. dorés et de Pseudomonas multi-résistants
posant des difficultés thérapeutiques. Dans ce con-texte à haut risque, les chiffres de
survenue d'infection nosocomiales (pneumopathies, infections urinaires, contaminations des
cathéters) se rapprochent néanmoins des données de la littérature pour sujets admis en
soins intensifs.
SUMMARY. The results of 4500
microbiological tests in 1600 patients hospitalized between 1989 and 1994
were recorded. The bacteria isolated were Staphylococcus aureus (25%), Streptococcus
(16%), other gram-positive bacteria (14%), Pseudomonas (26%), other
gramnegative bacteria (13%), and fungi (6%). Significant changes in isolate
frequency were noted according to the study period. Staphylococcus aureus and Pseudomonas
represented 27% of the bum wound flora before day 8 of burn evolution and 60% after
day 25. Eight per cent of burn patients had bacteraernias, 8% suffered a septic
syndrome (association of a systemic inflammatory syndrom and at least one organ failure),
11% had urinary infection (above all with Pseudomonas and Candida), and 7% had
nosocomial pneumopathies (45 % Pseudomonas). Twenty per cent of central venous
catheters were contaminated (5 1 % with Staphylococcus) with 4% of
bacteraernias. The topical and antibiotic managements are described. A significant
negative relation was found between Staphylococcus isolates and systemic anti-
staphylococcal chemotherapy, and significant positive relations between systemic
antibiotics and the occurrence of multiresistant strains (Staphylococcus aureus and
synergistins, fluoroquinil ones and Pseudomonas).
BIBLIOGRAPHIE
- Lawrence J.C.: Burn bacteriology during the last 50
years. Burns, 18: S23-9, 1992.
- Pruitt B.A., McManus A.T.: The changing epidemiology
of infections in burn patients. World J. Surg., 16: 57-67, 1992.
- Atoyebi O.A., Sowemimo G.O., Odugbemi T.: Bacterial
flora of burn wounds in Lagos, Nigeria: a prospective study. Burns, 18: 448-51,1992
- Becker W.K., Cioffi W.G., McManus A.T. et al.:
Fungal burn wound infection. A 10-year experience. Arch. Surg., 126: 44-1991.
- Donati L., Scamazzo F., Gervasoni M. et al.:
Infection and antibiotic therapy in 4000 burned patients treated in Milan, Italy, between
1976 and 1988. Bums, 19: 345-8, 1993.
- Nakhla L.S., Sanders R.: Microbiological aspects of
burns at Mount Vernon Hospital, UK. Burns, 17:309-12,1991.
- Reig A., Tejerina C., Codina J. et al.: Infections
in burn patients. Ann. Medit. Burns Club, 5: 91-5, 1992.
- Lesseva M., Girgitzova B.P., Bojadjiev C.:
Beta-haemolytic streptococcal infections in burned patients. Burns, 20:: 422-5, 1994.
- McManus A.T., McManus W.F., Mason A.D. et al.:
Beta-hemolytic streptococcal burn wound infections are too infrequent to justify
penicillin prophylaxis. Plast. Reconstr. Surg., 93: 650-1, 1994.
- Bone R.C.: Sepsis, the sepsis syndrome, multi-organ
failure: a pleading for comparable definitions. Ann. Intern. Med., 114: 332-3,.1991.
- Bone R.C.: Definitions for sepsis and organ failure
and guidelines for the use of innovative therapy in sepsis. Chest, 101: 1644-55,1992.
- Knaus W.A., Wagner D.P.: Multiple system organ
failure: epidemiology and prognosis. Crit. Care Clin., 5: 221-32, 1989.
- Ekenna 0., Sheretz R.J., Bingham H.: Natural history
of blood stream infections in a burn patient population: the importance of candidernia.
Am. J. Inf. Comr., 21: 189-95, 1993.
- Taylor G.D., Kibsey P., Kirkland T. et al.:
Predominance of staphylococcual organisms in infections occurring in a burns intensive
care unit. Burns, 18: 332-5, 1992.
- Still J.M., Belcher K., Law E.J.: Experience with
polymicrobial sepsis in a regional burn unit. Bums, 19: 434-6, 1993.
- Sheridan R.L., Tompkins R.G., McManus W.F. et al.:
Intracompartmental sepsis in burn patients. J. Trauma, 36: 301-5, 1994
- Carlet J., Guibert J.: Infections urinaires
nosocomiales: epidemiologie, depistage, pr6vention et conduite a tenir. Rev. Prat., 16:
1386-91,1989. Bordeaux, France.
- Durocher A., Saulnier F., Deturck R. et al.:
Bronchopneurnopathies nosocomiales. Rev. Prat., 16: 1395-8, 1989.
- Schmitt J.L., Leroy 0., Jary G.: Infections
nosocomiales par cathéters imravasculaires. Rev. Prat., 16: 1392-4, 1989.
- Sheridan R.L., Weber J.M., Peterson H.F. et al.:
Central venous catheter sepsis with weekly catheter change in paediatric burn patients: an
analysis of 221 catheters. Burns, 21: 127-30, 1995.
- Calvario A., Di Leonardo A., Larocca A.M.V. et al.:
Microbiological monitoring of severe burned patients admitted tothe burns centre in Bari
(Italy) in the period 1989-92. Ann. Medit.
- Pandit D.V., Gore M.A., Saileshwar N. et al.:
Laboratory data from the surveillance of a burn ward for the detection of hospital
infection. Burns, 19: 52-5, 1993.
- Signorini M., Grappoloni S., Magliano E. et al.:
Updated evaluation of the activity of antibiotics in a burn centre, Burns, 18: 500-3,1992.
- Cucchiara P., Sucameli M., Masellis M. et al.:
Bacteriological monitoring in a burns centre. Ann. Medit. Burns Club, 7: 80-3, 1994.
- McManus A.T., Mason A.D. McManus W.F. et al.: A
decade of reduced gram-negative infections and mortality associated with improved
isolation of burned patients. Arch. Surg., 129: 1306-9, 1994.
- Tredget E.E., Shankowsky H.A., Joffe A.M. et al.:
Epidemiology of infections with Pseudomonas aeruginosa in burn patients: the role
of hydrotherapy. Clin. Inf. Dis., 15: 941-9, 1992
- Desai M.H., Rutan R.L., Heggers J.P. et al.: Candida
infection with and without nystatin prophylaxis. An 11-year experience with patients
with burn injury. Arch. Surg., 127: 159-62, 1993
- Mackie D.P., van Hertura W.A., Schumburg T.H. et
al.: Reduction in Staphylococcus aureus wound colonization using nasal mupirocin
and selective decontamination of the digestive tract in extensive burns. Burns, 20: S 14-
8, 1994.
- Snyder L.L., Wiebelhaus P., Boon S.E. et al.:
Methicillin-resistant Staphylococcus aureus eradication in a burn centre. J. Burn
Care Rehabil., 14: 164-8, 1993.
- Richard P., Le Floch R., Chamaux C. et al.: Pseudomonas
aeruginosa outbreak in a burn unit: role of antimicrobials in the emergency of
multiply resistant strains. J. Inf. Dis., 107: 377-83, 1994.
- Magliacani G., Stella M., Calgani M.: Antimicrobial
therapy problems in burn sepsis. Ann. Medit. Burns Club, 7: 84-7, 1994.
This paper was received on 30 April
1995.
Address correspondence to: Dr R. Sanchez, Service des Brules, Hopital Pellegrin, Place A.
Raba-L6on, 33076 |
|